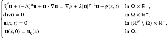
In this article, we are devoted to studying the following nonlocal Navier–Stokes equations involving the time–space fractional operators
where is a bounded domain with Lipschitz boundary, is the fractional Laplacian with , is the Riemann–Liouville time fractional derivative with , is a parameter, and . Due to the nonlocal nature of the fractional Laplacian, the classical weak solution frameworks proposed by J. L. Lions and E. Hopf are inapplicable to this problem. To address this challenge, we first construct a regularized problem and establish the existence of its solutions via the Galerkin method combined with fractional calculus techniques. Subsequently, we prove the uniqueness of the global weak solution to the regularized problem. Furthermore, under appropriate assumptions, a decay estimate characterizing the long-time behavior of solutions is derived. Finally, the existence of solutions to the original problem is obtained by analyzing the limiting behavior of the regularized solutions as the regularization parameter vanishes. The main contributions of this work are twofold:
Our problem simultaneously incorporates the Riemann–Liouville time fractional derivative and the fractional Laplacian, extending classical Navier–Stokes theory to a nonlocal time–space framework.
We develop a new analytical approach to estimate the nonlinear convection term in the presence of fractional operators, overcoming challenges posed by the loss of localization.
AbidinM. Z.ChenJ. C. (2021). Global well-posedness for fractional Navier–Stokes equations in variable exponent Fourier–Besov–Morrey spaces. Acta Mathematica Scientia, 41B(1), 164–176.
2.
AlsaediA.SaeedH.AlsulamiH. (2024). Existence and stability of solutions for a nonlocal multi-point and multi-strip coupled boundary value problem of nonlinear fractional Langevin equations. Bulletin of Mathematical Sciences. https://doi.org/10.1142/S1664360724500140
3.
AnJ.DouJ.HuY. (2024). Existence of solutions for the fractional Nirenberg problem with indefinite curvature functions. Bulletin of Mathematical Sciences, 14, 2450008.
4.
ApplebaumD. (2004). Lévy processes—from probability to finance and quantum groups. Notices of the American Mathematical Society, 51, 1336–1347.
5.
BourgainJ.PavlovicN. (2008). Ill-posedness of the Navier–Stokes equations in a critical space in 3D. Journal of Functional Analysis, 255(9), 2233–2247.
6.
CaffarelliL. (2012). Nonlocal diffusions, drifts and games. Nonlinear Partial Differential Equations: The Abel Symposium 2010, 7, 37–52.
7.
CaffarelliL.SilvestreL. (2007). An extension problem related to the fractional Laplacian. Communications in Partial Differential Equations, 32, 1245–1260.
8.
d’HumieresD.LallemandP.FrischU. (1986). Lattice gas models for 3D hydrodynamics. Europhysics Letters, 2(4), 291.
9.
Di NezzaE.PalatucciG.ValdinociE. (2012). Hitchhiker’s guide to the fractional Sobolev spaces. Bulletin des Sciences Mathématiques, 136, 521–573.
10.
FuY. Q.ZhangX. J. (2022). Global existence and asymptotic behavior of weak solutions for time–space fractional Kirchhoff-type diffusion equations. Discrete and Continuous Dynamical Systems-B, 27, 1301–1322.
11.
GigaY.MiyakawaT. (1989). Navier–Stokes flow in with measures as initial vorticity an Morrey spaces. Communications in Partial Differential Equations, 14(5), 577–618.
12.
HanB.WuD. (2024). Incompressible limit for the compressible viscoelastic fluids in critical space. Advances in Nonlinear Analysis, 14, 20240062.
13.
HopfE. (1951). Über die Anfangswertaufgabe für die hydrodynamischen grundgleichungen. Mathematische Nachrichten, 4, 213–231.
14.
JarrínO.LoachamínG. (2024). From non-local to Local Navier–Stokes equations. Applied Mathematics & Optimization, 89, 61.
15.
KatoT. (1987). Strong -solutions of the Navier–Stokes equation in , with applications to weak solutions. Mathematische Zeitschrift, 187(4), 471–480.
16.
KochH.TataruD. (2001). Well-posedness for the Navier–Stokes equations. Advances in Mathematics, 157(1), 22–35.
17.
LaskinN. (2000). Fractional quantum mechanics and Lévy path integrals. Physics Letters A, 268, 298–305.
18.
LeiZ.LinF. (2011). Global mild solutions of Navier–Stokes equations. Communications on Pure and Applied Mathematics, 64(9), 1297–1304.
19.
LerayJ. (1934). Sur le mouvement d’un liquide visqueux emplissant l’espace. Acta Mathematica, 63, 193–248.
20.
LiL.LiuJ. G. (2018). Some compactness criteria for weak solutions of time fractional PDEs. SIAM Journal on Mathematical Analysis, 50, 3963–3995.
21.
LiL.LiuJ. G.WangL. Z. (2018). Cauchy problems for Keller–Segel type time–space fractional diffusion equation. Journal of Differential Equations, 265, 1044–1096.
22.
LionsJ.-L. (1969). Quelques méthodes de résolution des problémes aux limites non linéaires. Dunod, Paris.
23.
MainardiF. (1997). Fractional calculus: Some basic problems in continuum and statistical mechanics. In A. Carpinteri, & F. Mainardi (Eds.), Fractals and fractional calculus in continuum mechanics (pp. 291–348). Springer-Verlag.
24.
MasudaK. (1984). Weak solutions of Navier–Stokes equations. Tôhoku Mathematical Journal, Second Series, 36, 623–646.
25.
MedveďM. (1997). A new approach to an analysis of Henry type integral inequalities and their Bihari type versions. Journal of Mathematical Analysis and Applications, 214, 349–366.
26.
Molica BisciG.RădulescuV.ServadeiR. (2015). Variational Methods for Nonlocal Fractional Problems. Cambridge University Press, Cambridge.
27.
ShenR. X.XiangM. Q.RǎdulescuV. D. (2022). Time–space fractional diffusion problems: Existence, decay estimates and blow-up of solutions. Milan Journal of Mathematics, 90, 103–129.
28.
TianJ.ZhangB. (2024). A fractional profile decomposition and its application to Kirchhoff-type fractional problems with prescribed mass. Advances in Nonlinear Analysis, 13, 20240029.
29.
TongL. L. (2024). Global existence and decay estimates of the classical solution to the compressible Navier–Stokes–Smoluchowski equations in . Advances in Nonlinear Analysis, 13, 20230131.
30.
VergaraV.ZacherR. (2015). Optimal decay estimates for time-fractional and other non-local subdiffusion equations via energy methods. SIAM Journal on Mathematical Analysis, 47, 210–239.
31.
Von WahlW. (2013). The Equations of Navier–Stokes and Abstract Parabolic Equations. Springer-Verlag.
32.
WangY.LiuY.CaraballoT. (2024). The existence and asymptotic behavior of solutions to 3D viscous primitive equations with Caputo fractional time derivatives. Journal of Mathematical Physics, 65, 013101.
33.
WuJ. (2006). Lower bounds for an integral involving fractional Laplacians and the generalized Navier–Stokes equations in Besov spaces. Communications in Mathematical Physics, 263(3), 803–831.
34.
WuY.WuQ.ZhangY. (2024). Time decay estimates of solutions to a two-phase flow model in the whole space. Advances in Nonlinear Analysis, 13, 20240037.
35.
XiangM.MaY. F. (2024). Existence and stability of normalized solutions for nonlocal double phase problems. Journal of Geometric Analysis, 34, 46.
36.
XiangM.MaY.YangM. (2024). Normalized homoclinic solutions of discrete nonlocal double phase problems. Bulletin of Mathematical Sciences, 14, 2450003.
37.
XiangM.XieM. (2024). Normalized solutions for Kirchhoff equations with exponential nonlinearity and singular weights. Journal of Geometric Analysis, 34, 379.
38.
ZacherR. (2008). Boundedness of weak solutions to evolutionary partial integro-differential equations with discontinuous coefficients. Journal of Mathematical Analysis and Applications, 348, 137–149.
39.
ZhouY.PengL. (2017). On the time-fractional Navier–Stokes equations. Computers & Mathematics with Applications, 73, 874–891.