Abstract
Introduction
Recently analytical approaches to nonlinear vibrations have been caught much attention, for examples, the harmonic balance method,
1
He’s frequency formulation,2–7 and the variational iteration method.8–11 In this paper we will study Yao–Cheng oscillator in the form
12
Equation (1) can be effectively solved by the homotopy perturbation method, 12 which is generally effective for oscillators without a damping term.13–18
The harmonic balance method
In order to make the calculation simple, equation (1) is equivalently written in the form
The harmonic balance method
1
is to search for a solution in the form
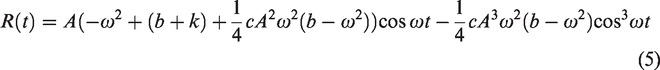
The use of equation (2) in equation (1) results in the following residual
Simplification of equation (4) gives
Setting the coefficient of
Equation (7) is exactly same as that by the homotopy perturbation method. 12
A fractal modification of Yao–Cheng oscillator
Yao–Cheng oscillator can model an oscillator with a damping term, when the velocity is zero, the damping force is maximal, and while the velocity reaches its maximum, the damping force is minimal. Such a case can be seen in an attachment oscillation in gecko’s smart adhesion,
19
considering the fractal property of the gecko’s attachment system, the attachment oscillator
19
can be modified as
Conclusion
This paper shows that the harmonic balance method 1 is as effective as the homotopy perturbation method10–13 for Yao–Cheng oscillator. The advantages of the harmonic balance method are: (1) no need for construction of the homotopy equation, which is a must in the homotopy perturbation method; (2) no expansion for the solution and the parameter involved in the linear term.
