In our article, we apply incremental relay to the cooperative non-orthogonal multiple access network, in which the incremental relay employs amplify and forward protocol. The main communication process of the system is that one base station transmits messages to multiple non-orthogonal multiple access users with the assistance of incremental relay. In addition, we deeply analyze the outage behavior of the incremental cooperative non-orthogonal multiple access system over Nakagami-m fading channels. Specifically, the exact and asymptotic closed-form expressions of outage probabilities are all derived for paired users un and uf, which are nearby and distant user, respectively. On this basis, the diversity orders of the paired users un and uf are also acquired, which are μ (n+f+1) and μ(f+1). We also investigate the conventional cooperative non-orthogonal multiple access system, which serves as a benchmark of the incremental cooperative non-orthogonal network. Through the proof, we can conclude that the outage behavior of the distant uf has been improved by adopting incremental relay. Finally, the performance of the system is simulated. The following conclusions can be drawn from the numerical simulation results: (1) the outage performance and throughput of the system have been significantly improved by using the incremental relay protocol; (2) as the multipath fading increases, the outage performance of the system becomes better; and (3) the greater the difference in channel gain between paired users, the incremental cooperative non-orthogonal system can achieve better outage performance.
With the explosive growth of wireless communication devices, such as the Internet of Vehicles and multi-media equipment, massive connection becomes the main feature of wireless communication network. Subsequently, the requirements for low-latency traffic and high spectral efficiency have stimulated the latest innovations in wireless technologies.1 Non-orthogonal multiple access (NOMA) has proven to be a revolutionary technology to enhance spectrum efficiency2,3 in wireless communication networks. NOMA scheme includes power-domain and code-domain NOMA; we focus on power-domain NOMA and use NOMA to represent power-domain NOMA in this article, as multiple NOMA users can use the same resources (time/frequency/code) to communicate at the same time, that is, compared with previous orthogonal multiple access (OMA), NOMA improves resource utilization. When implementing the NOMA scheme, the transmitters use superposition coding for message transmission, while the receivers employ successive interference cancelation (SIC) algorithm for decoding.4 Many studies have shown that NOMA effectively enhance the spectrum efficiency and throughput in large-scale cellular networks with massive connectivity.5–7
The researchers first carried out research on the point to point NOMA communication networks, mainly including the performance analysis and optimization of the downlink and uplink point to point communication networks. Ding et al.8 investigated a downlink NOMA system with users deployed randomly, and the research demonstrates that the outage performance of users mainly depends on the power allocation and the setting of the target rate. Under non-ideal channel state information (CSI),9 the authors investigated the downlink NOMA system with uniformly deployed users. The above research indicates that NOMA is better than OMA in terms of interrupt performance and sum rate. Shi et al.10 further studied the impact of power allocation and other aspects on system performance. Under different fairness constraints, the power allocation factor and decoding order were set for each user and the average outage probability has been analyzed. On the basis of the above research, the authors analyzed the outage behaviors and best diversity of downlink NOMA11 in reference to the situation that each user feeds back one bit CSI information to the base station (BS). Liu and Petrova12 have investigated a downlink NOMA communication network, which is based on dynamic proportional fair scheduling for users, and the researchers explored the upper limit performance of the NOMA network under ideal and actual conditions. Moreover, the authors have combined energy harvesting and NOMA technology in a network13 with a large number of devices connected on a large scale and conducted a joint evaluation of the interference management and energy harvesting capabilities based on the actual situation of the network. These analysis results show that NOMA is superior to OMA, which also provides fruitful insights for the practical application.
To reduce the influence of wireless channel fading on the communication coverage of wireless communication systems, researchers combined cooperative communication14 technology and NOMA in the communication system. Ding et al.15 first proposed the concept and scheme of cooperative NOMA, where the nearby user acts as a relay to assist information transmission to the distant user. In the cooperative NOMA system of Ashraf et al.,16 the nearby user was employed as a relay with decode and forward (DF) and amplify and forward (AF) protocol, and then, the outage performance of the NOMA system was analyzed. In addition to the above-mentioned half-duplex communication, full-duplex (FD)17 NOMA systems have also been extensively studied to improve spectral efficiency, as the information can be transmitted and received at the same time. The authors investigated the outage behaviors of a cooperative NOMA network under FD mode.18 It has confirmed that the proposed cooperative NOMA system with FD mode is superior to that of HD mode. Furthermore, the influence of Loop Self-Interference (LI) signals in FD mode has been considered.19 The performance analysis of the cooperative NOMA system19 with user relays working in FD and HD modes has been carried out, respectively.
Apart from the above researched, the NOMA system with dedicated relays has also been carried out. The research of literature20–22 has shown that the cooperative NOMA system using AF relay is significantly better than that of OMA including coding gain, outage behavior and throughput. In addition to the above analysis of the NOMA system under the Rayleigh fading channel, Chu and Zepernick23 analyzed the cooperative NOMA system with DF relay under the Nakagami-m channel, including outage probability and the sum rate. Li et al.24 studied the energy harvesting and information transmission of cooperative NOMA networks with the consideration of residual hardware damage and channel estimation errors. On this basis, the security performance of the environmental backscatter cooperative NOMA system25 has been considered in the case of imperfect SIC; in addition, a kind of unmanned aerial vehicle-assisted cooperative NOMA network has been studied.26 Besides, the authors have introduced a small cell network operating in a heterogeneous cellular network environment27 by deploying FD, energy harvesting, and NOMA scheme, which have improved the spectrum efficiency and outage performance. Furthermore, the problem of relay selection in cognitive radio NOMA network28 has been discussed under the spectrum sharing mode. Then, NOMA has been applied to the cognitive radio–assisted NOMA-vehicle-to-vehicle (V2V) scene,29 where two V2V transmissions schemes were proposed to enhance the performance of vehicles.
While the conventional cooperative NOMA (CCN) network effectively improves the spectrum utilization, there are still some shortcomings in the HD and FD CCN network. Specifically, the HD CCN network requires twice the time for information transmission compared with the non-cooperative NOMA system, which restricts the improvement of spectrum efficiency. Moreover, the loop interference (LI) signal in the FD CCN system restricts the improvement of diversity gain and spectral efficiency. Therefore, taking into account the application research of the incremental relaying (IR) protocol14 in the cooperative communication system, since the IR protocol can effectively improve the spectral efficiency. The characteristic of incremental relay is to determine whether the system adopts the cooperative mode through one bit negative-feedback signal. When it is predicted that the direct link between the source and the receiver cannot correctly decode the received signal, relay is used to coordinate information transmission. In previous studies, most of the researches were carried out on the performance of cooperative OMA systems with the IR protocol,30,31 which shows that the IR cooperative system can achieve higher throughput compared with the conventional cooperative systems. Driven by this, we consider introducing the IR protocol into the cooperative NOMA system for in-depth research.
Motivation and contributions
Although the CCN systems has been extensively studied in improving user access density, the research on Incremental cooperative NOMA (ICN) system still needs to be in-depth to further improve the system spectrum efficiency. While the aforementioned research on cooperative NOMA systems have been laid a solid foundation for improving user access density, the ICN system is still under exploration for improving system spectrum efficiency. From previous research, it is worth pointing out that the NOMA communication networks are suitable for IoT scenarios, especially where user channel conditions are quite different. In this scenario, users with different channel conditions are paired to perform NOMA. In addition, extensive research has been carried out on cooperative NOMA to improve communication coverage. Without loss of generality, cooperative NOMA can be divided into HD and FD mode, respectively. As mentioned above, there are still some drawbacks in the traditional HD and FD cooperative NOMA system. Moreover, cooperative NOMA systems are almost researched under Rayleigh channels. Inspired by these, we conducted research on the ICN system under Nakagami-m fading channels. We have summarized the contribution of this article as follows:
We researched the ICN system, where the system with fixed gain AF relaying is studied over Nakagami-m fading channels. To characterize the outage behaviors of the proposed ICN system, we derive closed-form expressions of the outage probability for the paired nearby user and distant user . Furthermore, we obtain the asymptotic outage probability and diversity orders of two users paired. Through proof, it can be concluded that the outage behaviors of in the ICN network have been significantly improved.
We also do simulation on the basis of theoretical analysis. Compared with the CCN network, we confirm that the users paired of the ICN network achieve superior outage behavior and throughput. Specially, the ICN system can achieve better outage performance when the channel gain difference between the two users paired is greater.
The rest of this article is organized as follows. In the system model part, the NOMA system model with incremental relaying over Nakagami-m fading channels is presented. In the outage performance part, the outage behaviors of two users paired in the proposed system are researched. Simultaneously, we have also conducted in-depth research on the CCN system as a comparison. In the numerical results part, The theoretical analysis is verified by The theoretical analysis is verified by simulation analysis. At the end, we conclude this article in conclusion part.
System model
The system model including network description and signal model will be explained in the following two subsections.
Network description
In this article, a downlink cooperative NOMA network with incremental relaying is considered over Nakagami-m fading channels. As the system model shown in Figure 1, one BS communicates to two paired users with the assistance of the incremental relay R, where the two paired users are a nearby user and a distant user among all N users. All nodes in this system are equipped with single antenna. In addition, consider the scenarios where AF protocol is considered at the relay. The complex channel coefficient of , , , , and are denoted as , , , , and . Moreover, we assume the channels of N users follow independent Nakagami-m fading distribution. In general, the order of channel gains for N users is .
The model of incremental cooperative NOMA system over Nakagami-m fading channels.
The communication process of ICN system is described as follows. A complete communication process consists of two time slots. BS broadcasts the superposed signal of two users to , R and in the first time slot. Once the superposed signal is received, compares the SINR of the decoded own signal with a predetermined decoding threshold. If the signal of can be decoded through the direct link, will feed back a positive signal to BS and R. BS employs direct NOMA transmission mode within the whole transmission process after receiving the positive feedback, that is, the second time slot repeats the communication process of the first time slot. Otherwise, BS employs cooperative NOMA transmission mode while receiving the negative feedback, that is, R will forward the received superimposed signal in the second time slot.
Signal model
In the first time slot, BS transmits superimposed signal to R, and , where is the transmit power of BS, and denote the power signal for and , respectively. and are the corresponding power allocation coefficients of and . Specially, assuming and ,32 which is to ensure fairness and QoS among users. Hence, the signal received at , , and R can be expressed as
and
respectively; where , , and are the additive white Gaussian (AWGN) at , , and R, which follow the complex Gaussian distribution with zero mean and variance , respectively. According to NOMA principle, the SIC scheme is first implement at to decode ; hence, the SINR of decoding at is
where denotes the transmit SNR of each link between BS and other node. Subsequently, executes the SIC scheme to eliminate the signal , the SNR of decoding its own signal is given by
Finally, the SINR of decoding its own signal can be written as
If estimates that it can correctly detect through the direct link, the communication mode is still repeated in the remaining next time slot.
Otherwise, BS employs cooperative NOMA transmission mode while receiving the negative feedback, that is, R will forward the superimposed signal in the second time slot. Consequently, assuming the transmit power of R is and . The AF protocol is considered at R, and R amplifies and forwards the received superimposed signal to and . For simplifying, fixes gain factor G is employed at AF relay; then, the signals received at and are given as
respectively, where and denotes expectation operation. and are the AWGN at and and they follow the complex Gaussian distribution with zero mean and variance . Similar to the above decoding process, the SINR of decoded at can be expressed as
After the signal of is decoded and subtracted, the SINR of decoded its own signal can be written as
Simultaneously, the SINR of decoded at can be expressed as
Outage performance evaluation
The following section will conduct a detailed analysis of the outage performance for the ICN system.
Outage probability analysis
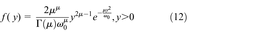
First according to the description of the system model, we can express the probability density function (PDF) of as
in which is the multipath fading parameter, is the control spread and is the Gamma function. So we can get the PDF and cumulative distribution function (CDF) of as follows
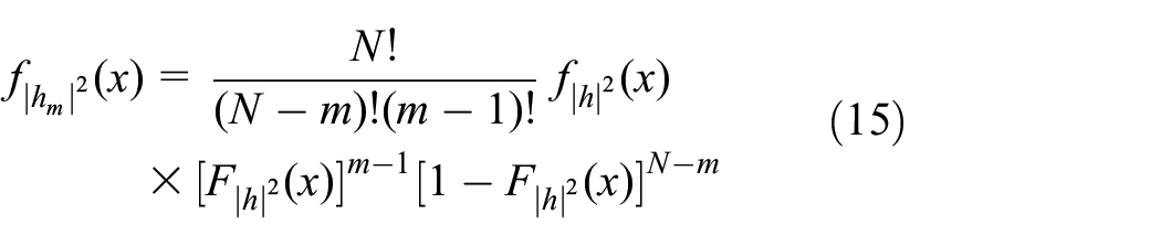
where is unsorted channel gain. Combined with the order statistics,33 we can obtain the PDF and CDF of as follows
and
in which is the mth user’s channel gain after channel sorting.
Next, we analyze the outage behaviors of the two users paired in the system.
Outage probability of
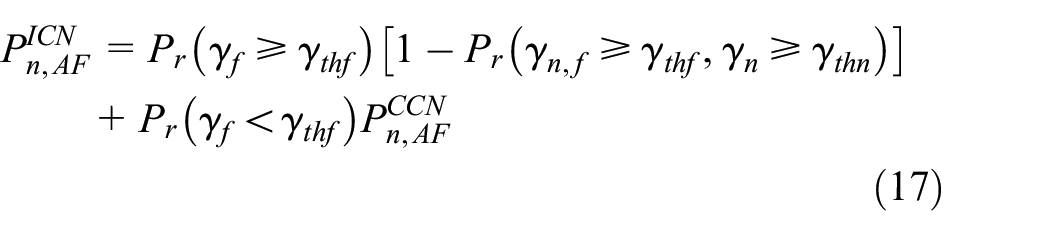
Considering the communication scheme of the ICN network, the outage event for is divided into two categories. One is when the can successfully detect its own information by direct link, that is, the system is in direct link communication mode. On the contrary, the system works in cooperative communication mode. Hence, the outage probability of can be written as
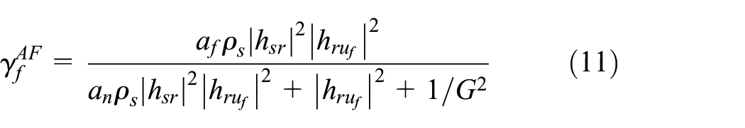
where the decoding threshold of and under direct link transmission mode are and . Moreover, and are the target rate of and , respectively. Additionally, the outage probability of for CCN network is , which can be given as follows
Similarly, the decoding threshold of and under cooperative transmission mode is and .
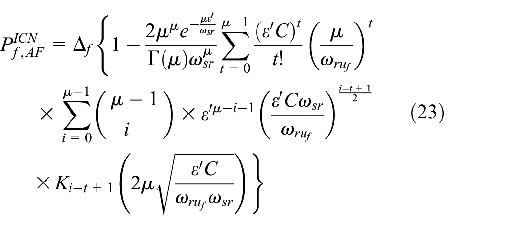
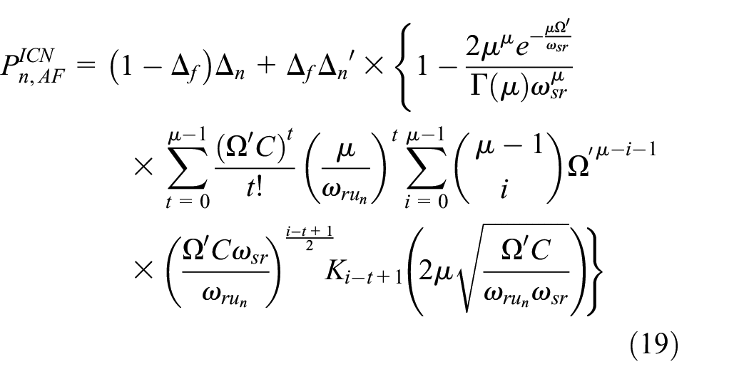
The closed-form expression of is presented in Theorem 1 as follows.
Theorem 1
In the ICN network, the closed-form expression of outage probability for nearby user is obtained as
where
In addition
and
. denotes the modified Bessel function of the second kind with order . Note that equation (19) is derived on the condition of and .
In the derivation process of Theory 1, the closed-form expression of for CCN system is given in the following corollary, which can be used as a comparison for ICN network performance.
Corollary 1
In the CCN system, the closed-form expression of the outage probability for nearby user can be given by
The condition for the above equation (20) to be true is .
Outage probability of
Similarly, considering the communication scheme of ICN network, the outage event of occurs when cannot detect correctly through direct link. Therefore, the outage probability of is given as
It is worth noting that the conditions for the establishment of equation (23) are and , otherwise .
In addition, the outage probability of for CCN network is , which can be written as
In the derivation process of Theory 2, the closed-form expression of for CCN system is given as Corollary 2.
Corollary 2
In CCN system, the closed-form expression of the for distant user is given as
Where
and . Note that equation (25) is also derived on the condition of , otherwise .
Remark 1
Comparing equations (22) and (24), it is obvious that , which shows that the performance of in the ICN network exceeds that of the CCN network.
Diversity analysis
Based on the analysis of the outage probability of and in the above part, we further analyze the asymptotic outage probability in high SNR region and obtain diversity order of two paired users. The diversity order32 can be defined as
Diversity order of and
When , the approximate expression of for ICN system is obtained as Corollary 3.
Corollary 3
In the ICN system, the outage probability of at high SNR can be approximated as
According to Yue et al.,22 the diversity order of and in the CCN mode are and , respectively.
Remark 2
The diversity order of the nearby user in the ICN system is significantly higher than that of the CCN system.
Throughput analysis
For the proposed ICN network, as the information transmission rates are fixed value, the throughput of the network in delay-limited transmission mode mainly depends on the outage behaviors. Therefore, under delay-limited transmission mode, the throughput of ICN system can be expressed as
Similarly, the throughput of the system under CCN mode is given as follows, which can be used as a benchmark of the ICN system throughput
Numerical results
Simulation evaluate and verify the performance analysis of the above ICN system, where the transmission is performed under Nakagami-m fading channels. Assuming the total number of users is . The power distribution coefficients for and are and ,32 respectively. Moreover, we assume that BPCU and BPCU are the target rate of and , where BPCU refers to bit per channel use. To simplify, the gain of the AF relay is fixed at .22 Besides, and are the average power, which can be obtained by setting the pathloss exponent and normalized distance .21 In the following simulation analysis, Monte Carlo simulations are performed to validate the derived exact analytical results. The simulation results for the outage probability and system throughput are averaged over channel realizations. It is emphasized that the CCN and OMA networks have also been investigated and simulated, which are used as a comparison for the ICN network performance.
Figure 2 plots the outage probability curves of two users paired in the ICN network versus transmit SNR. Meanwhile, the outage probability curves under CCN and OMA networks are also simulated for comparison. The black, blue, and red curves represent the outage behavior of and for ICN, CCN, and OMA networks. According to equations (19) and (23), the exact theoretical curves of and in the ICN system are presented. It is obvious that the Monte Carlo curves coincide with the exact theoretical curves, which shows that our theoretical derivation is accurate. In addition, the asymptotic outage behavior curves of and in ICN network are presented as the black dashed line, which are plots according to equations (27) and (29). As shown in the figure that the approximate and precise curves of outage probability tend to be consistent under high SNR. Moreover, the exact theoretical curves of and in the CCN system are presented as blue curves, which are plots according to equations (20) and (25). By comparison, it is shown that the outage performance of the ICN system surpasses that of CCN and OMA system. Simultaneously, Remark 1 has also been verified. Figure 3 plots the exact outage probability curves of and in ICN network versus transmit SNR, where , respectively. From the curve in the figure, it can be concluded that an increase in the value of will bring about an improvement in outage behaviors.
The outage probability versus transmit SNR for ICN system with , , and .
The outage probability versus transmit SNR for ICN system with ; , .
Figure 4 plots the outage probability versus transmit SNR curves of two paired users with different path loss exponent. In this simulation, the path loss exponent takes 3, 4, and 5 respectively; other parameters remain unchanged. When path loss exponent , the curves of the outage probability for the two paired users are black, red, and blue, respectively. From the simulation curve, it can be concluded that the outage behaviors of and is greatly affected by . Specifically, the system performance becomes better as becomes larger, mainly because the average power becomes larger as increases. However, the diversity order of two paired users and does not change with the change of , which also verifies the conclusions shown in equations (28) and (30).
The outage probability versus transmit SNR of two paired users for different path loss exponent, , , ; .
Figure 5 plots the outage probability versus transmit SNR curves of two paired users for different targeted data rates. In this simulation, the distant and nearby users have taken three pairs of different rates, which are BPCU, BPCU; BPCU, BPCU; and BPCU, BPCU, respectively. It can be seen from Figure 5 that the outage behaviors of and deteriorate with the increase of and , respectively. These are mainly because the decoding threshold enhances as the rate increases. From the simulation results in Figure 5, another conclusion can be drawn that the performance of has nothing to do with , because does not decode the signal of when decoding , only takes the signal of as interference noise. These also verify the conclusions as equation (22). Moreover, the outage performance of is related to the change of ; because SIC is performed at , the signal is decoded and subtracted before the self-signal is decoded.
The outage probability versus transmit SNR of two paired users for different targeted data rates, , , ; BPCU, BPCU; BPCU, BPCU, and BPCU, BPCU.
Figure 6 plots the outage probability versus transmit SNR curves for different paired users in ICN network. In this simulation, a different total number of users are used and three different pairing methods for the distant and nearby users have adopted, which are N = 5, , ; N = 10, , and N = 10, , ; respectively. From Figure 6, we can conclude that the outage behavior of is mainly affected by the total number of users N, when the order of in all users remains unchanged. Specifically, the outage behaviors of deteriorates as the N increases. As the order of among N users is fixed, the channel gain is mainly affected by the total number of users according to equations (15) and (16). Therefore, the decoding SINR of will change with the number of users, which in turn affects the outage performance of . Furthermore, it is shown from Figure 6 that the outage behaviors of is affected by its self-ordering and the value of N. When the value of N is fixed, as the sort value of the nearby user and distant user increases, the greater difference between the channel gains of them, the better outage performance of the nearby user . Similarly, if the ranking of and is fixed and the value of N is smaller, it means that the increase in the channel difference between and brings the performance improvement of . In general, it proves that NOMA is suitable for scenarios with large differences in user channel conditions and can significantly improve user outage behaviors in this scenario.
The outage probability versus transmit SNR for different paired users in ICN network, N = 5, , ; N = 10, , and N = 10, , ; .
Figure 7 plots the outage probability versus transmit SNR curves in ICN network for different power allocation coefficients. In this simulation, three different power allocation coefficients for the distant and nearby users have adopted, which are , ; , and , ; respectively. When , and , the outage probability curves of and are black, red and blue respectively. From Figure 7, it can be shown that the outage performance of deteriorates as the value of increases ( decreases). Similarly, the outage behavior of improves as the value of increases. As a result, the optimization of user power allocation can also improve system performance.
The outage probability versus transmit SNR for different power allocation coefficients, , ; , and , ; , and .
Figure 8 plots the ICN and CCN system throughput curves versus transmit SNR, which are plotted in delay-limited transmission mode according to equations (31) and (32), respectively. It can be concluded from Figure 8 that the system throughput of the ICN network exceed that of CCN system in limited delay mode. This is because that the system throughput is mainly affected by the probability of outage, and the outage behaviors of the ICN network has been improved. Similarly, the system throughput of ICN and CCN networks increases with the increase of .
The system throughput versus transmit SNR in delay-limited transmission, ; , .
Conclusion
In this article, the IR protocol has been applied in the cooperative NOMA network, where the transmission was performed over Nakagami-m fading channels. Specially, the outage behavior of the ICN network were investigated, which included analysis of outage probability and diversity gain of two paired users. We obtained the closed form solutions of the outage probability and diversity order for the two paired and . In addition, the performance of CCN system has been a benchmark for ICN system. Finally, the performance of the ICN network has been simulated, the simulation results has shown that the outage performance and the throughput in the delay limited mode of the ICN network exceed the CCN network.
Footnotes
Handling Editor: Miguel Acevedo
Declaration of conflicting interests
The author(s) declared no potential conflicts of interest with respect to the research,authorship,and/or publication of this article.
Funding
The author(s) disclosed receipt of the following financial support for the research,authorship,and/or publication of this article: Thank you for the support of the Natural Science Foundation of Jiangsu Higher Education Institutions. This work was support by Basic Science (Natural Science) Research Project of Higher Education Institutions in Jiangsu Province under grant 21KJB510035.
ORCID iD
Zhenling Wang
References
1.
DavidKBerndtH.6G vision and requirements: is there any need for beyond 5G?IEEE Veh Technol Mag2018; 13(3): 72–80.
2.
CaiYQinZCuiF, et al. Modulation and multiple access for 5G networks. IEEE Commun Surv Tut2018; 20(1): 629–646.
3.
DingZLeiXKaragiannidisGK, et al. A survey on non-orthogonal multiple access for 5G networks: research challenges and future trends. IEEE J Select Area Commun2017; 35(10): 2181–2195.
4.
CoverTMThomasJA.Elements of information theory. Hoboken, NJ: Wiley, 1991.
5.
LiuYQinZElkashlanM, et al. Nonorthogonal multiple access for 5G and beyond. Proc IEEE2017; 105(12): 2347–2381.
6.
DingZLiuYChoiJ, et al. Application of non-orthogonal multiple access in LTE and 5G networks. IEEE Commun Mag2017; 55(2): 185–191.
7.
YueXQinZLiuY, et al. A unified framework for non-orthogonal multiple access. IEEE Trans Commun2018; 66(11): 5346–5359.
8.
DingZYangZFanP, et al. On the performance of non-orthogonal multiple access in 5G systems with randomly deployed users. IEEE Signal Process Lett2014; 21(12): 1501–1505.
9.
YangZDingZFanP, et al. On the performance of non-orthogonal multiple access systems with partial channel information. IEEE Trans Commun2016; 64(2): 654–667.
10.
ShiSYangLZhuH.Outage balancing in downlink non-orthogonal multiple access with statistical channel state information. IEEE Trans Wirel Commun2016; 15(7): 4718–4731.
11.
XuPYuanYDingZ, et al. On the outage performance of non-orthogonal multiple access with 1-bit feedback. IEEE Trans Wirel Commun2016; 15(10): 6716–6730.
12.
LiuFPetrovaM.Performance of proportional fair scheduling for downlink PD-NOMA networks. IEEE Trans Wirel Commun2018; 17(10): 7027–7039.
13.
NguyenMSVDoDTAl-RubayeS, et al. Exploiting impacts of antenna selection and energy harvesting for massive network connectivity. IEEE Trans Commun2021; 69: 7587–7602.
14.
LanemanJNTseDNCWornellGW.Cooperative diversity in wireless networks: efficient protocols and outage behavior. IEEE Trans Inf Theory2004; 50(12): 3062–3080.
AshrafMShahidAJangJW, et al. Energy harvesting non-orthogonal multiple access system with multi-antenna relay and base station. IEEE Access2017; 5: 17660–17670.
17.
LiLDongCWangL, et al. Spectral-efficient bidirectional decode-and-forward relaying for full-duplex communication. IEEE Trans Veh Technol2016; 65(9): 7010–7020.
18.
ZhangZMaZXiaoM, et al. Full-duplex device-to-device-aided cooperative nonorthogonal multiple access. IEEE Trans Veh Technol2017; 66(5): 4467–4471.
19.
YueXLiuYKangS, et al. Exploiting full/half-duplex user relaying in NOMA systems. IEEE Trans Commun2018; 66(2): 560–575.
20.
LiangXWuYNgDWK, et al. Outage performance for cooperative NOMA transmission with an AF relay. IEEE Commun Lett2017; 21(11): 2428–2431.
21.
MenJGeJZhangC.Performance analysis of non-orthogonal multiple access for relaying networks over Nakagami-m fading channels. IEEE Trans Veh Technol2017; 66(2): 1200–1208.
22.
YueXLiuYKangS, et al. Performance analysis of NOMA with fixed gain relaying over Nakagami-m fading channels. IEEE Access2017; 5: 5445–5454.
23.
ChuTMCZepernickHJ. Performance of a non-orthogonal multiple access system with full-duplex relaying. IEEE Commun Lett2018; 22(10): 2084–2087.
24.
LiXWangQLiuM, et al. Cooperative wireless-powered NOMA relaying for B5G IoT networks with hardware impairments and channel estimation errors. IEEE Intern Things J2021; 8(7): 5453–5467.
25.
LiXZhaoMZengM, et al. Hardware impaired ambient backscatter NOMA systems: reliability and security. IEEE Trans Commun2021; 69(4): 2723–2736.
26.
LiXWangQLiuY, et al. UAV-aided multi-way NOMA networks with residual hardware impairments. IEEE Wirel Commun Lett2020; 9(9): 1538–1542.
27.
DoDTLeCBAfghahF.Enabling full-duplex and energy harvesting in uplink and downlink of small-cell network relying on power domain based multiple access. IEEE Access2020; 8: 142772–142784.
28.
DoDTNguyenMSVJameelF, et al. Performance evaluation of relay-aided CR-NOMA for beyond 5G communications. IEEE Access2020; 8: 134838–134855.
29.
DoDTLeTANguyenTN, et al. Joint impacts of imperfect CSI and imperfect SIC in cognitive radio-assisted NOMA-V2X communications. IEEE Access2020; 8: 128629–128645.
30.
IkkiSSAhmedMH.Performance analysis of incremental relaying cooperative diversity networks over Rayleigh fading channels. IET Commun2011; 5(3): 337–349.
31.
IkkiSSAhmedMH.Performance analysis of cooperative diversity with incremental-best-relay technique over Rayleigh fading channels. IEEE Trans Commun2011; 59(8): 2152–2161.
32.
YueXLiuYKangS, et al. Spatially random relay selection for full/half-duplex cooperative NOMA networks. IEEE Trans Commun2018; 66(8): 3294–3308.
33.
DavidHANagarajaHN.Order statistics. 3rd ed.New York: John Wiley & Sons, 2003.
34.
GradshteynISRyzhikIM.Table of integrals, series, and products. 6th ed.New York: Academic Press, 2000.