Abstract
Keywords
Introduction
In recent years, the researches on steering performance have made considerable achievements. At first, Steeds proposed skid-steer concept 1 and then a lot of work had been investigated from all aspects. 2 However, unlike a skid-steer vehicle, an articulated vehicle uses an articulated mechanism to achieve a steering path. That means for a skid-steer vehicle, the efficiency of steering performance will be degraded due to the slip and skid phenomenon. However, for an articulated vehicle, the efficiency will not be degraded because of articulated mechanism. Moreover, tracked vehicles have excellent mobility in off-road application.3,4 And with the combination of steering performance and mobility, the applications of articulated tracked vehicles have been spread widely.
Most of works of articulated vehicles are focused on stability and dynamics such as heavy trucks, tractor-implement, and wheel loader. In Iida and colleagues,5,6 a steering model of articulated wheel loader on level ground is developed based on the sideslip angle; in Azad et al., 7 a linear model of articulated steering vehicle is developed based on the disturbed motion; in Polotski and Hemami, 8 a theoretical model is developed for the motion of wheel load truck on a horizontal plane; in Li et al., 9 a mathematical model of articulated steering wheel loader is developed to evaluate the steering performance. However, little work has been implemented focused on the machine–soil interaction. In fact, machine–soil interaction plays a significant role in deterring steering performance. In order to predict steering performance more accurately, it is necessary to focus on machine–soil interaction for articulated vehicle.
For tracked vehicles, some researches have been focused on track–soil interaction. At first, Bekker 10 proposed empirical relations of pressure-sinkage and shear stress-slippage on track–soil interaction. Then Wong 11 extended Bekker’s principles and proposed a model of tracked vehicle to predict the normal pressure distribution on track–soil interaction. Joseph and Paramsothy 12 used multi-body dynamics model to evaluate the influence on track–soil interaction. However, such researches were obtained based on the various constraint situation. In fact, soil deformation generated by side bulldozing plays an important role in determining the steering performance. If the force caused by side bulldozing is always not considered on track–soil interaction, 13 the steering resistance torque cannot be calculated accurately. Therefore, in order to calculate steering performance more accurately, it is necessary to develop a steering model that can take the effect of soil deformation into consideration on track–soil interaction.
The contributions of this article are constructing a detailed steering model of articulated tracked vehicle and developing a track–soil sub-model on track–soil interaction. The track–soil sub-model can consider soil deformation generated by side bulldozing on track–soil interaction. Therefore, equipped with the track–soil sub-model, the steering model can take the effect of soil deformation into consideration on track–soil interaction, which will serve as a basis for other similar vehicles. This article is organized as follows: In section “A steering model of articulated tracked vehicle,” a steering model of articulated tracked vehicle is constructing. In section “A track–soil sub-model of articulated tracked vehicle,” a detailed track–soil sub-model of articulated tracked vehicle is developed. The simulation results are discussed in section “Numerical simulation,” and in section “Experiments,” the experimental results are discussed. Finally, conclusions are made in section “Conclusion.”
A steering model of articulated tracked vehicle
In order to improve steering performance, a steering model of articulated tracked vehicle need to be proposed. Unlike a skid-steer vehicle, an articulated tracked vehicle uses an articulated mechanism to achieve a steering path. 14 Figure 1 gives the virtual prototypes of articulated tracked vehicle and articulated mechanism. In Figure 1, the articulated mechanism consists of a pair of steering cylinders, a pair of pitching cylinders, an articulated frame, and a hinge support. When an articulated tracked vehicle is steering, articulated mechanism uses steering cylinders to steer a path. That means steering resistance torque can be overcome using articulated mechanism, so that the efficiency of steering performance cannot be degraded.

Virtual prototypes of articulated tracked vehicle and articulated mechanism.
As mentioned above, steering performance of articulated tracked vehicle is different from the performance of skid-steer vehicle. For an articulated tracked vehicle, an articulated mechanism is used to accomplish relative steering between front and rear units. Figure 2 gives the steering motion of articulated tracked vehicle. In Figure 2, a navigational reference frame

The steering motion of articulated tracked vehicle.
For the front unit of articulated tracked vehicle, the advancing velocity is denoted by
where
Figure 3 shows the forces generated by soil deformation on track–soil interaction. According to balance principle, the balance equations from the dynamic balance between all forces and moments about the
where

The forces generated by soil deformation on track–soil interaction.
And for the rear unit of articulated tracked vehicle, the advancing velocity is denoted by
where
According to balance principle, the balance equations from the dynamic balance between all forces and moments about the
where
Figure 4 shows the motion relationship of force and steering torque on articulated point. The force and steering torque acting on the articulated point can be written as

The force and steering torque on articulated point.
In order to obtain the steering model of articulated tracked vehicle, substituting equations (1)–(3), (5), and (7) into equations (4) and (6), then the steering model can be presented directly by
where
where
The steering model of articulated tracked vehicle can be obtained by equation (8). Obviously, the forces
A track–soil sub-model of articulated tracked vehicle
As mentioned in section “A steering model of articulated tracked vehicle,” if the forces
Kinematic analysis of a track
When an articulated tracked vehicle is steering, every track has its ground instantaneous center, which is denoted by
Figure 5 presents the instantaneous center and geometric center of a track. In Figure 5, the longitudinal offset

The instantaneous center and geometric center of a track.
The lateral offset
The slip angle
Hence
The force caused by soil shear on track–soil interaction
In order to improve steering performance, soil deformation should be taken into account on track–soil interaction. When an articulated tracked vehicle is steering on soft soil, the effect of soil shear will lead soil deformation on track–soil interaction. In order to present the soil shear deformation, according to Janosi-Hanamoto’s soil shear relationship, the shear stress can be obtained by 19
where
where
where
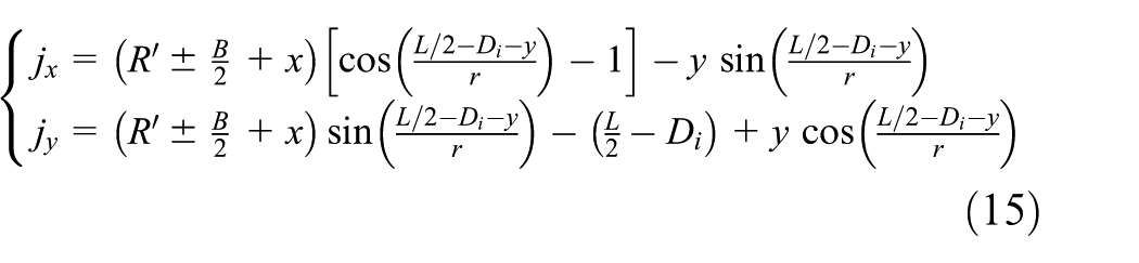
Figure 6 illustrates soil shear deformation of a track on track–soil interaction. The force
where
where
where

Soil shear deformation of a track on track–soil interaction.
Then, the steering resistance torque
The force caused by side bulldozing on track–soil interaction
Figure 7 illustrates soil pressure deformation of a track on track–soil interaction, where
where

The soil pressure deformation of a track on track–soil interaction.
According to balance principle, the forces for every micro-unit length on track–soil interaction can be described by
where
Using equations (22) and (23), the bulldozing resistance
In equation (24), the minimum value of
where
According to equation (25), in order to obtain the minimum value of
Using equation (26), the
Substituting equation (27) into equation (24), the
where
and
Therefore, the force on track–soil interaction can be obtained by
Substituting equations (9)–(30) into equation (31), the track–soil sub-model can be obtained. Using this detailed track–soil sub-model, the essential physics of track–soil interaction can be captured. Therefore by using the track–soil sub-model, steering performance can be calculated more accurately.
Substituting equation (31) into equation (8), a steering model of articulated tracked vehicle can be obtained. Equipped with the track–soil sub-model, the steering model can capture the essential physics of soil deformation on track–soil interaction. Therefore, based on this track–soil sub-model, the steering model of articulated tracked vehicle can be improved, and steering performance can be calculated more accurately.
Numerical simulation
In order to demonstrate the accuracy of steering model, numerical analyses have been performed using MATLAB and Recurdyn. The comparative studies are carried out between theoretical results and Recurdyn model. The parameters of articulated tracked vehicle are listed in Table 1.
Parameters of the articulated tracked vehicle.
The comparison in heavy clay soil
The heavy clay soil parameters are listed in Table 2. Table 3 illustrates the comparison with the steering resistance torque of every track when the articulated tracked vehicle is steering at
Soil parameters of heavy clay.
Steering resistance torques of every track.
Figure 8 shows the driving torque comparison theoretical model with Recurdyn model. In Figure 8, the articulated tracked vehicle is steering at

The driving torque comparison theoretical model with Recurdyn model.
As shown in Figure 8, the value of driving torque at
Table 3 and Figure 8 demonstrate that the value of steering model is close to the value of Recurdyn model that means the proposed steering model can predict steering performance accurately. Therefore, the proposed steering model can be used to study steering problem of articulated tracked vehicle.
The comparison in different soft soil conditions
Using an articulated mechanism, an articulated tracked vehicle has excellent mobility in off-road application. Figure 9 presents the steering torque acting on articulation point of theoretical model proposed in different soft soil conditions.

The steering torques of theoretical model in different soft soil conditions.
As shown in Figure 9, the average values of steering torque are 6794 N m on dry sand, 6032 N m on hard surface, and 10,873 N m on clayey soil, respectively. That means an articulated tracked vehicle needs more torque to steer on clayey soil because the adhesion of soil property leads soil deformation on track–soil interaction. Figure 9 demonstrates that the proposed steering model can capture the soil deformation and study steering problem of articulated tracked vehicle on soft soil.
Experiments
In order to verify the effectiveness of steering model proposed, the experimental platform is built for examining the steering performance of articulated tracked vehicle on soft soil.
The articulated tracked vehicle is experimented for research purposes. The system configuration is shown in Figure 10 where

The system configuration of the articulated tracked vehicle for experiments.
Based on this experimental platform, the drive power is tested. At first, sets of data are tested on soft soil. Then the comparative studies between experiment and theoretical results are carried out. Figure 11 presents the results of articulated tracked vehicle on soft soil.

The drive power of experiment and theoretical results.
As shown in Figure 11, the average values of drive power are 466.236 kW for experimental result, and 462.492 kW for theoretical result, respectively. That means the average value of theoretical model is similar to the average value of experimental result. Some difference probably lies in the difference of soil conditions between experimental results and theoretical model.
The comparisons indicate that the experimental results are reasonably in agreement with the theoretical results. The simulations and experimental results suggest that the proposed steering model of articulated tracked vehicle can consider soil deformation on track–soil interaction and calculate the steering performance more accurately. Therefore, the proposed model has the capable of study the steering problem for articulated tracked vehicle.
Conclusion
The steering model of articulated tracked vehicle considering soil deformation on track–soil interaction has been developed in this article. In particular, the track–soil sub-model is developed where the soil deformation generated by side bulldozing can be taken into consideration on track–soil interaction. Simulations and experimental results are in strong agreement with the theoretical results in this article. Therefore, equipped with the track–soil sub-model, this proposed steering model can be used to study steering problem of articulated tracked vehicle and accurately predict steering performance. The steering model of articulated tracked vehicle proposed in this article can provide a basis for other similar vehicles.
This steering model can capture the physics of track–soil interaction and calculate the steering performance accurately on a given soil condition. However, an articulated tracked vehicle will steer in unknown soft soil condition. In order to improve the steering model more accurately, the future work will focus on track–soil sub-model, which can capture the essential physics in the unknown soft soil conditions for real time.
